Previous Next

Valve Lash

ADJUSTMENT

2.2L Engine
  1. Before servicing the vehicle, refer to the precautions in the beginning of this section.
  2. With the engine cold, rotate the engine so that the No. 1 piston is at Top Dead Center (TDC) of its compression stroke.
  3. Check the clearance of both the intake and exhaust valves of the No. 1 cylinder by inserting a feeler gauge between each valve stem and rocker arm.
  4. If the clearance is not within specifications, loosen the locknut with the proper size wrench and turn the adjusting stud either in or out until the valve clearance is correct.

    NOTE: Proper valve clearance is obtained when the feeler gauge slides between the valve stem and the rocker arm with a minimum amount of resistance.

  5. Tighten the locknut and recheck the valve stem-to-rocker clearance.
  6. The rest of the valves are adjusted in the same way. Bring each piston to TDC of its compression stroke, then check and adjust the valves for that cylinder. The proper valve adjustment sequence is 1-3-2-4.
  7. Rotate the crankshaft at least 2 revolutions, then recheck the valve clearance.
  8. Tighten the rocker arm locknuts to 10-13 ft. lbs. (14-18 Nm).
  9. Install the valve covers using new gaskets. Tighten the retaining nuts to 24-36 inch lbs. (3-4 Nm).
2.5L Engine

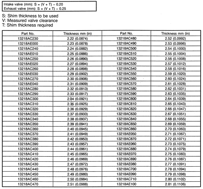
NOTE: The valve adjustment should be performed while the engine is cold. A Shim Replacer Kit 498187100 will be needed to perform the valve adjustment.

Fig. 1: Exploded view of the shim replacer kit

  1. Before servicing the vehicle, refer to the precautions in the beginning of this section.
  2. Remove or disconnect the following:

    NOTE: Label the spark plug wires before disconnecting them.

  3. Place a drip tray under the vehicle, and remove the valve covers.
  4. Turn the crankshaft pulley clockwise until the arrow mark on the camshaft is set to the position as shown.

    NOTE: The checking or adjusting the exhaust valve is performed from under the vehicle.

  5. Check the valve clearance using the appropriate sized feeler gauge as follows:
    1. Intake valve clearance specification is 0.0071-0.0087 in. (0.18-0.22mm).
    2. Exhaust valve clearance specification is 0.0090-0.0106 in. (0.23-0.27mm).
  6. If any valve needs adjustment, perform the following, while referring to the accompanying illustrations:

    Fig. 2: Position the lifter notch as shown, to remove the shim

    Fig. 3: First install part "A" of the tool to the camshaft...

    Fig. 4: ...then part "B" under part "A" as shown

    Fig. 5: Turn part "C" until the adjusting shim can be removed

    1. Rotate the notch of the lifter outward by 45 degrees.
    2. Install part "A" of the Replacer on to the camshaft.
    3. Install part "B" of the Replacer as shown.
    4. Install part "C" and turn until part "B" pushes the lifter away.
    5. Insert tweezers into the notch of the valve lifter, and take out the shim.
    6. Measure the thickness of the shim, then using the chart select and install a new shim and recheck the clearance.
  7. Remove the adjusting tools.
  8. Install or connect the following:
  9. Check the engine oil level.

    Fig. 6: Position the camshaft as shown to adjust No. 1 intake valve and No. 3 exhaust valve

    Fig. 7: Position the camshaft as shown to adjust No. 3 intake valve and No. 2 exhaust valve

    Fig. 8: Position the camshaft as shown to adjust No. 2 intake valve and No. 4 exhaust valve

    Fig. 9: Position the camshaft as shown to adjust No. 4 intake valve and No. 1 exhaust valve

    Fig. 10: Valve adjusting shim chart

Previous Next