Previous Next

Fuel Injected Models

There are no routine mixture or idle speed adjustments necessary on fuel injected models.

TUNE-UP SPECIFICATIONS

TROUBLESHOOTING BASIC POINT-TYPE IGNITION SYSTEM PROBLEMS

TROUBLESHOOTING ELECTRONIC IGNITION—1977–82

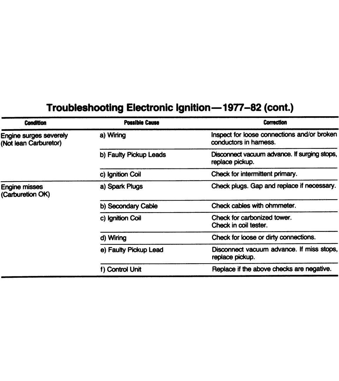
TROUBLESHOOTING ELECTRONIC IGNITION—1977–82, continued

TROUBLESHOOTING ELECTRONIC IGNITION—1977–82, continued

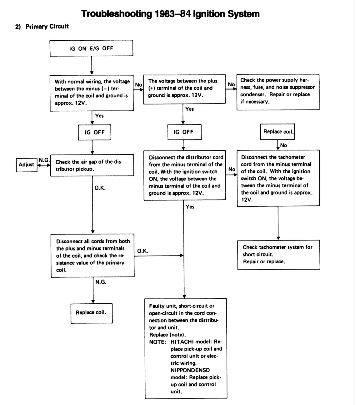
TROUBLESHOOTING 1983–84 IGNITION SYSTEM

TROUBLESHOOTING ENGINE PERFORMANCE

TROUBLESHOOTING ENGINE PERFORMANCE

TROUBLESHOOTING ENGINE PERFORMANCE

Previous Next