WHEEL BALANCE ACCURACY
PURPOSE
This section contains tips and procedures for achieving accurate wheel balance. Steering wheel vibration and/or body shake can result if any of these procedures are not carefully observed.
1.Wheels and tyres must be properly mounted on a balancer in order to achieve correct balance. Centering the wheel on the shaft of the balancer is essential for proper mounting.
2.Off-the-car wheel balancers must be calibrated periodically to ensure good balancing results. An inaccurately calibrated balancer could cause unnecessary replacement of tyres, shocks, suspension components, or steering components.
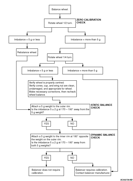
Check your balancer’s calibration approximately every 100 balances. Your wheel balancer’s instruction manual should include calibration procedures. If the calibration procedures specifically for your balancer are missing, use the generic steps in this section for zero calibration, static balance, and dynamic balance checks. The wheel balancer calibration checks are also described in the flowchart. (Refer to
).
PROCEDURE <BALANCING TIPS>
1.Confirm that the balancer’s cone and the wheel mounting cone are undamaged and free of dirt and rust.
2.On this vehicle, the wheel’s centre hole on the hub side has a chamfered edge. Use a back-mounting cone on your wheel balancer to centre the wheel on the balancer shaft.
3.Install a wheel mounting cone. The appropriate size cone for this vehicle is 67.0 mm.
4.Before balancing the wheel, remove any wheel weights from both sides. Also check both sides for any damage.
5.When installing wheel weights, hammer them at a straight (not diagonal) angle.

<CONFIRMING PROPER BALANCE>
1.After balancing the wheel, loosen the wing nut and turn the wheel 180° against the balancer’s hub. Then re-tighten the wing nut and check the balance again. Repeat wheel balance if necessary.
2.Turn the wheel again 180° against the balancer’s hub. If the wheel becomes out-of-balance each time it is turned against the balancer’s hub, the wheel balancer may require calibration.
<WHEEL BALANCER CALIBRATION CHECKS>
1.Mount an undamaged original-equipment alloy rim and tyre assembly (wheel) onto your off-the-car wheel balancer. Balance the wheel.
2.<<Zero Calibration Check>>
Loosen the balancer wing nut, rotate the wheel a half-turn (180°), and retighten the nut. Recheck the balance.
- If the imbalance is 5 g or less, the zero calibration is OK. Rebalance the wheel, then go to Step 4 to check static balance.
- If the imbalance is more than 5 g, go to Step 3.
3.Loosen the balancer wing nut, rotate the wheel 1/4 turn (90°), and retighten the nut. Recheck the wheel balance.
- If the imbalance is 5 g or less, the wheel may not be centred on the balancer, or the balancing cones, the cup, and/or wing nut are damaged, dirty, or inappropriate for the wheel. You may need to refer to the balancer manufacturer’s instructions to verify the correct attachments. After making the necessary corrections, recheck the wheel balance. If OK, then go to Step 4.
- If the imbalance is more than 5 g, the balancer requires calibration. Contact the balancer manufacturer for calibration by their repair representative.
4.<<Static Balance Check>>
Attach a 5 g weight to the outer rim. Recheck the balancer. The balancer should detect 5 ± 2 g of imbalance 170 to 190° away from the 5 g weight.
- If the imbalance is within specification, the static balance calibration is correct. Go to Step 5 to check the dynamic balance.
- If the imbalance is out of specification, the balancer requires calibration. Contact the balancer manufacturer for calibration by their repair representative.
5.<<Dynamic Balance Check>>
Attach a 5 g weight to the inner rim at 180° opposite the 5 g weight that was added in Step 4. Recheck the balance. The balancer should detect 5 ± 2 g of imbalance 170 to 190° away from both the inner and outer 5 g weights.
- If the imbalance is within specification, the dynamic balance calibration is correct. The balancer calibration checks are complete.
- If the imbalance is out of specification, the balancer requires calibration. Contact the balancer manufacturer for calibration by their repair representative.
WHEEL BALANCER CALIBRATION CHECKING FLOW CHART
