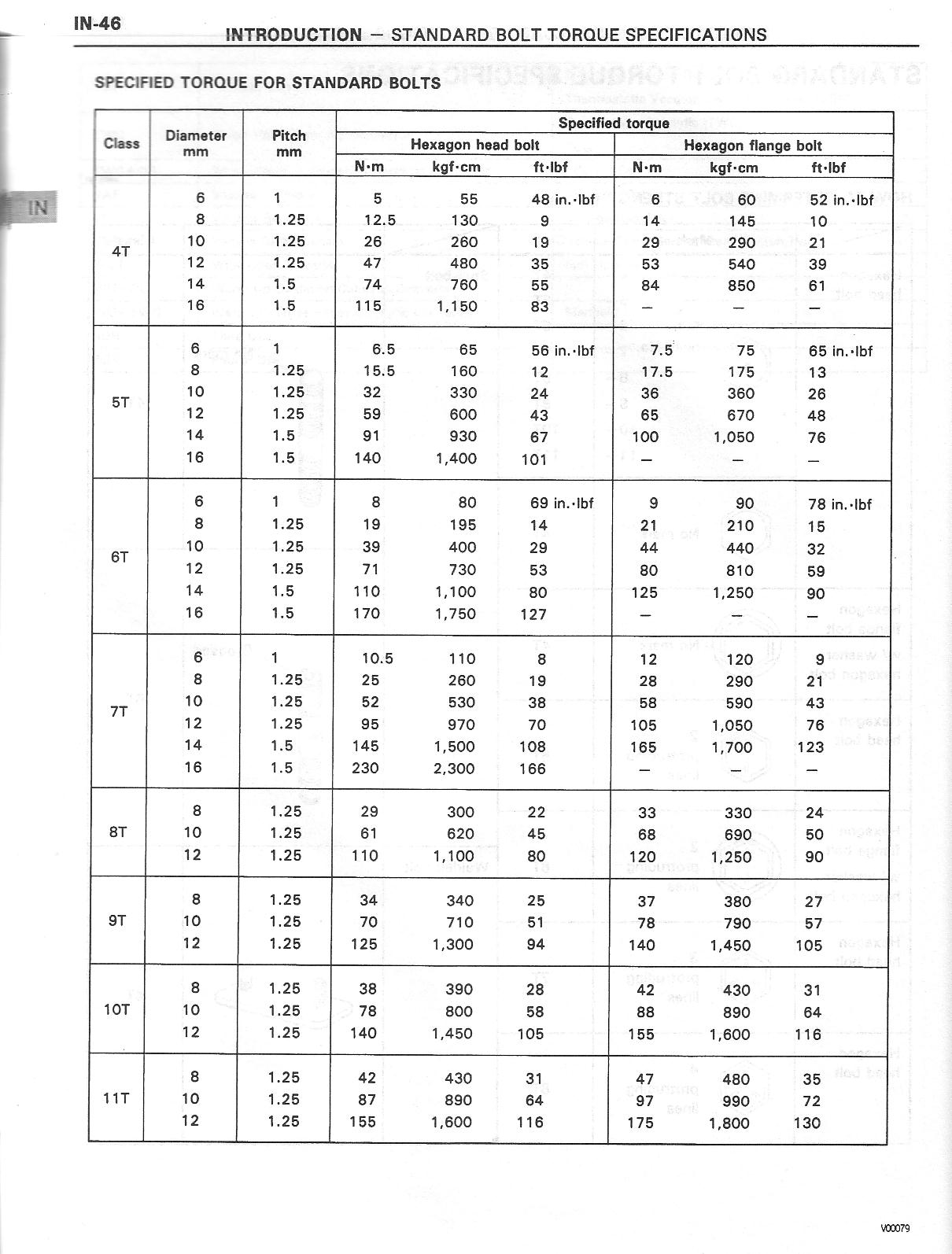
previous zoom Main Index Topic Index